17882285575
首页
产品中心
PEG类linker
PROTAC砌块
ADC砌块
生物正交砌块
生物素标记
蛋白交联剂
荧光探针
生物活性分子&中间体
新闻资讯
公司动态
行业资讯
技术资料
客户服务
常见问题
购买流程
售后服务
关于我们
公司简介
联系我们
产品中心
全部
DSPE-PEGn-COOH
DSPE-PEGn-Azide
DPPE-PEGn-Azide
DSPE-PEGn-NHS ester
DSPE-PEGn-Mal
DSPE-PEGn-propargyl
其它磷脂标记
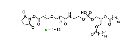
DSPE-PEGn-NHS ester
CAS号:
包装:100mg,500mg,1g,5g,25g
纯度:95%
市 场 报 价:
折 扣 价:
联 系 电 话:
17882285575,15002882073
产品介绍
规格参数
产品图片
售后服务